তিন মেয়াদের বেশি বাফুফেতে নয়

গত বছরের ২৬ অক্টোবর বাফুফে নির্বাচনে সভাপতি নির্বাচিত হয়ে তাবিথ আউয়াল গঠনতন্ত্র সংস্কারকে সর্বোচ্চ গুরুত্ব দিয়েছিলেন। এরপর ৯ নভেম্বর প্রথম কার্যনির্বাহী কমিটির সভায় গঠনতন্ত্র সংস্কারের জন্য ড. মোহাম্মদ জাকারিয়াকে চেয়ারম্যান করে তিন মাস মেয়াদের তিন সদস্যের কমিটি গঠন করা হয়েছিল। সেই কমিটি কিছুটা বেশি সময় নিয়ে একটা খসড়া দাঁড় করিয়েছে। যা গত শনিবার বাফুফে নির্বাহী কমিটির সভায় পেশ হয়েছে।
তিন মেয়াদের বেশি নয়; তাবিথ-রুপুদের নির্বাচনে বাধা নেই
খসড়া গঠনতন্ত্রে মৌলিক পরিবর্তন খুব বেশি কিছু নেই। বিদ্যমান গঠনতন্ত্রে নির্বাহী কমিটির কোনো পদে কত সংখ্যকবার প্রতিনিধিত্ব করা যাবে সেটা নিয়ে কোনো বাঁধা-ধরা নিয়ম নেই। খসড়া গঠনতন্ত্রের ৩৭ অনুচ্ছেদে সেটা সর্বোচ্চ ‘তিন বারের বেশি নয়’ এমন বিধান রাখা হয়েছে। টানা কিংবা বিরতি যেভাবেই হোক, তিন বারের বেশি কেউ কোনো পদে থাকতে পারবেন না। সভাপতিসহ সকল পদের জন্য এটা প্রযোজ্য।
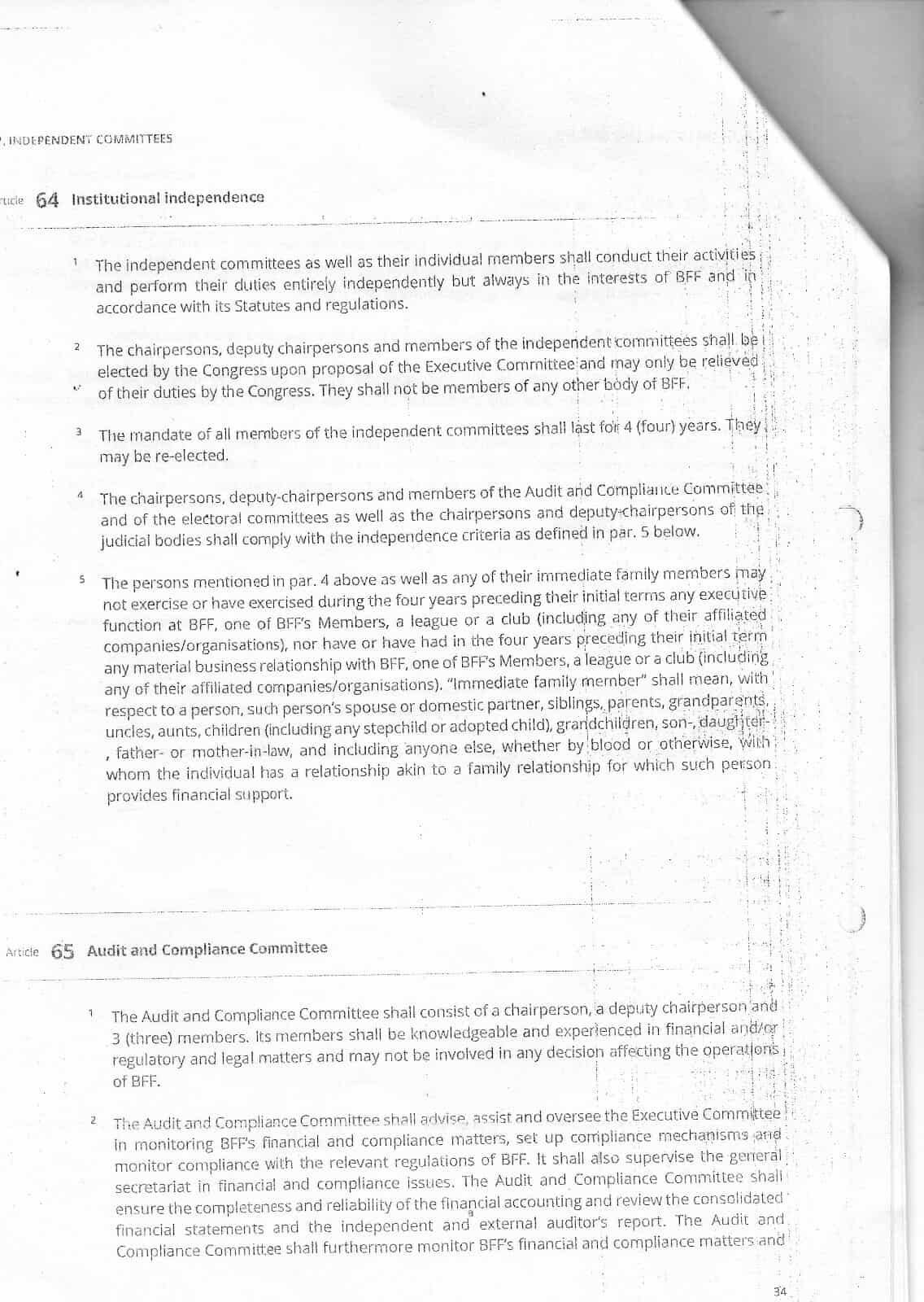
ফিফার গঠনতন্ত্রেও তিন বারের বেশি কোনো পদে থাকা যাবে না এমন নিয়ম রয়েছে। তবে সেখানে সভাপতি পদে খানিকটা শিথিলতা রয়েছে। কেউ দুই মেয়াদে সহ-সভাপতি বা সদস্য থাকলে পরবর্তীতে সভাপতি নির্বাচিত হলে তিনি আরো দুই বার সভাপতি পদে নির্বাচন করতে পারবেন। অন্য পদের মেয়াদ গণ্য হবে না। বাফুফের খসড়া গঠনতন্ত্রে সভাপতির এমন বিশেষ সুবিধা রাখা হয়নি।
বাফুফে বর্তমান নির্বাহী কমিটির মধ্যে সত্যজিৎ দাশ রুপু সর্বোচ্চ পাঁচ (টানা), আমিরুল ইসলাম বাবু ও বিজন বড়ুয়া চার মেয়াদ, তাবিথ আউয়াল, ইকবাল হোসেন, মাহফুজা আক্তার কিরণ, জাকির হোসেন চৌধুরী তিন মেয়াদ পার করছেন। নতুন গঠনতন্ত্র পাস হলেও তারা পুনরায় নির্বাচন করার সুযোগ পাবেন। গঠনতন্ত্রের ৯১ অনুচ্ছেদে ট্রানজিশনাল প্রভিশনের ৪ ধারায় বলা হয়েছে নতুন গঠনতন্ত্র পাস হওয়ার পরবর্তী নির্বাচন থেকে মেয়াদ গণনা শুরু হবে।

সংখ্যাগরিষ্ঠ ভোটেই সভাপতি-সহ সভাপতি নির্বাচিত নয়
বাফুফের বর্তমান গঠনতন্ত্রে নির্বাচন নিয়ে তেমন সুবিন্যস্ত ব্যাখ্যা নেই। তবে খসড়া গঠনতন্ত্রে ফিফা-এএফসি আদলে নির্বাচন ব্যবস্থা একটু জটিল করা হয়েছে। সভাপতি, সহ-সভাপতি পদে নির্বাচন করতে হলে এখন দুইজন সমর্থক কিংবা প্রস্তাবক হলেই হয়। খসড়ায় সেখানে কমপক্ষে পাঁচজনের সমর্থন প্রয়োজন বলা হয়েছে। সদস্য পদের জন্য ২ জনই বহাল আছে।
সভাপতি, সিনিয়র সহ-সভাপতি, সহ-সভাপতি পদে সংখ্যাগরিষ্ঠ ভোট পেলেই নির্বাচিত হয়ে এসেছে এতদিন। এখন সেটা আরো একটু কঠিন করা হয়েছে। এই পদগুলোতে নির্বাচিত হতে হলে কাস্টিং ভোটের ৫০ শতাংশ পেতে হবে। বিষয়টি এ রকম- ধরা যাক সভাপতি পদে প্রার্থী তিনজন, সেখানে বৈধ ভোট পড়েছে ১০০। একজন ৪০ আর বাকি দুইজন ৩৫ আর ২৫ ভোট পেল। ৪০ ভোট যিনি পেয়েছেন তিনি নির্বাচিত হবেন না। সর্বনিম্ন ২৫ ভোট যিনি পেয়েছেন তাকে বাদ দিয়ে অন্য দুই জনের মধ্যে পুনরায় ভোট হবে। আর যদি ১০০ ভোটের মধ্যে প্রথমেই একজন ৫০ ভোট পান তাহলে তিনিই নির্বাচিত হবেন। সদস্য পদে অবশ্য সাধারণ সংখ্যাগরিষ্ঠতার ভিত্তিতেই জয়-পরাজয় নিষ্পত্তি হবে।
বাফুফের বিদ্যমান গঠনতন্ত্রে ২৫ বছরের কম এবং ৭২ বছরের বেশি হলে নির্বাচনে প্রার্থী হওয়া যাবে না বলা আছে। খসড়া গঠনতন্ত্রে বয়সের এই নিষেধাজ্ঞা নেই। যেকোনো বয়সের কেউ নির্বাচনে প্রার্থী হতে পারবেন। নতুন গঠনতন্ত্র পাশ হলে বাফুফের চার বারের সভাপতি কাজী সালাউদ্দিনেরও নির্বাচনে প্রার্থী হওয়ার সুযোগ থাকছে।
কাজী সালাউদ্দিনের আমলে অনেক কর্মকর্তা বুলি আওড়েছিলেন- কাউন্সিলর ও নির্বাহী সংখ্যা কমানোর নির্দেশনা দিয়েছে ফিফা। খসড়া গঠনতন্ত্রে নির্বাহী কমিটির আকার সেই ২১ জনই থাকছে। বিন্যাসটাও বর্তমানের মতোই সভাপতি, সিনিয়র সহ-সভাপতি, চার সহ-সভাপতি ও ১৫ নির্বাহী সদস্য। তবে ১৫ নির্বাহী সদস্যের মধ্যে ন্যূনতম দুইজন নারী সদস্যের বিধান রাখা হয়েছে। নারী সদস্য দুইয়ের অধিক হলে তাদের মধ্যে আলাদা ভোট হবে নাকি ১৫ জনের মধ্যেই নির্বাচন করতে হবে- এই ব্যাপারে স্পষ্ট নির্দেশনা নেই খসড়াতে। বাফুফে নির্বাচন করতে হলে ফুটবলের সঙ্গে সম্পৃক্ত থাকতে হবে এমন শর্ত রয়েছে। নারীদের ক্ষেত্রে সেখানে শিথিলতা রয়েছে। ৯১ অনুচ্ছেদের ৫ ধারায় রয়েছে- এই গঠনতন্ত্র পাস হওয়ার পর প্রথম নির্বাচনে মহিলা প্রার্থীর ক্ষেত্রে এটা প্রযোজ্য নয়।

নির্বাহী কমিটির ৫০ শতাংশের কম শূন্য হলে সেটা উপ-নির্বাচনের মাধ্যমে পূরণ করা যাবে। উপ-নির্বাচনে কেউ জয়ী হলে সেটা পূর্ণ এক মেয়াদ হিসেবেই গণ্য হবে। নির্বাহী কমিটির ৫০ শতাংশ শূন্য বা পদত্যাগ করলে তখন অতিসত্ত্বর জরুরি সাধারণ সভা ডেকে পূর্ণাঙ্গ নির্বাচনের আয়োজন করতে হবে। নির্বাচন না হওয়া পর্যন্ত দৈনন্দিন কাজ চলমান রাখবে বাফুফে সচিবালয়। খসড়ায় নির্বাহী কমিটির সভা বছরে তিনটি থেকে বাড়িয়ে চারটি করা হয়েছে।
নির্বাহী কমিটির নির্বাচনের সময় প্রার্থীদের ফরম পূরণের বাধ্যবাধকতা রয়েছে খসড়া গঠনতন্ত্রে। সেখানে ফিফার আইনে কোনো সাজা, ফুটবল ছাড়াও ক্রীড়াঙ্গনে কোনো শাস্তি আছে কি না এই সংক্রান্ত তথ্য প্রদান করতে হবে। আদালত কর্তৃক সাজাপ্রাপ্ত কেউ নির্বাচন করতে পারবে না সেটা বর্তমানের মতো এই খসড়াতেও রয়েছে। সিভিল, ক্রিমিনাল কোনো মামলা আছে কি না, থাকলে সেটা কী সংক্রান্ত- এই তথ্যও পূরণ করতে হবে। বাফুফের নতুন গঠনতন্ত্র পাস হলে বিদ্যমান কমিটির কারো এই ধরনের কোনো সমস্যা থাকলেও তাদের ক্ষেত্রে প্রযোজ্য হবে না। পরবর্তী নির্বাচন থেকে এটি কার্যকর হবে।
ডিসিপ্লিনারী, আপিল কমিটিও নির্বাচিত
ডিসিপ্লিনারী ও আপিল কমিটি বাফুফের বিচারিক আদালত। নির্বাহী কমিটির কেউ এতে থাকতে পারেন না। খসড়া গঠনতন্ত্রে ডিসিপ্লিনারী, আপিল, নির্বাচন কমিশন ও অডিট কমপ্ল্যায়েন্স কমিটিকে সম্পূর্ণ স্বাধীন ও নির্বাচিত করার প্রস্তাবনা দেওয়া হয়েছে। বিষয়টিতে এতই গুরুত্ব দেওয়া হয়েছে যে এই গঠনতন্ত্র পাস হওয়ার ১২ মাসের মধ্যে কংগ্রেসের মাধ্যমে এই কমিটিগুলোর পদ নির্বাচিত করতে হবে। এই কমিটিগুলোতে শুধু নির্বাহী কমিটি নয়, ক্লাব, জেলা এমনকি বাফুফের কমিটির কোনো আত্মীয়, ব্যবসায়ীক অংশীদারও না থাকার কড়া নির্দেশনা রয়েছে। বর্তমানে বাফুফে নির্বাহী কমিটিই ডিসিপ্লিন, আপিল ও নির্বাচন কমিশন গঠন করে।
ডেলিগেশনে এসেছে পরিবর্তন
বাংলাদেশের ফুটবল প্রশাসনের কাঠামোতে উপরের দিকে অবস্থান বিভাগীয় ফুটবল এসোসিয়েশনের। খসড়া গঠনতন্ত্রে বাফুফের অংশীদার কিংবা ডেলিগেট কোথাও বিভাগীয় ফুটবল এসোসিয়েশন নেই। যদিও জেলা ফুটবল এসোসিয়েশন রয়েছে। কাউন্সিলর তালিকায় বিদ্যমানের মতো দ্বিতীয় বিভাগে ১০ ও তৃতীয় বিভাগে ৮ দলের ভোটাধিকার রাখা হয়েছে। বিশ্ববিদ্যালয়ের ক্ষেত্রে খানিকটা ভিন্নতা রয়েছে। বাফুফের অধীভুক্ত বিশ্ববিদ্যালয়গুলো এতদিন সরাসরি ভোটাধিকার পেলেও এবার আন্তঃবিশ্ববিদ্যালয় ফুটবল প্রতিযোগিতায় শীর্ষ তিন দলকে ভোটাধিকার প্রদানের কথা বলা হয়েছে। বাংলাদেশের ফুটবলের প্রকৃত পাইপলাইন পাইওনিয়ার লিগ। সেই পাইওনিয়ারের আনুষ্ঠানিক স্বীকৃতি বাফুফের গঠনতন্ত্রে ছিল না। খসড়া গঠনতন্ত্রে বাফুফের পার্টনার/সদস্য হিসেবে পাইওনিয়ার ক্লাবগুলোকে স্বীকৃতি দেওয়া হয়েছে, তবে ভোটাধিকার দেওয়া হয়নি। বাফুফে অধীভুক্ত সংস্থার বাৎসরিক চাঁদা ১ হাজার থেকে বাড়িয়ে ২ হাজার করা হয়েছে।

বাফুফের গঠনতন্ত্রে মূল সংকটের জায়গা ছিল ক্ষমতাসীনদের হাতে জেলা ও বিভাগীয় ফুটবল এসোসিয়েশনের কমিটি অনুমোদনের এখতিয়ার থাকা। যা নির্বাচনে বড় ভোট ব্যাংক হিসেবে কাজ করে। না খেলেও অনেক জেলা-ক্লাব ভোটাধিকার পায়। অ্যাথলেটিক্স, হকিসহ অনেক ফেডারেশনের গঠনতন্ত্রে রয়েছে- চার বছরের মধ্যে অন্তত দুটি জাতীয় চ্যাম্পিয়নশিপে অংশগ্রহণ না করলে ভোটাধিকার থাকবে না। খসড়া গঠনতন্ত্রে এ রকম কোনো বাধ্যবাধকতা কিংবা এই ফাঁক-ফোকর আটকানোর কোনো ধারা দেখা যায়নি।
বাফুফের খসড়া গঠনতন্ত্রে বিদ্যমান গঠনতন্ত্র ও ফিফার আলোকে অনেক ধারা-উপধারা সংযোজন করা হয়েছে। অনেক ধারার ব্যাখ্যার জন্য অন্য ধারার রেফারেন্স দেওয়া হলেও সেই ধারা খুঁজে পাওয়া যায়নি ৷ ফিফায় সিনিয়র সহ-সভাপতি নেই। সেখানে সভাপতির অবর্তমানে দীর্ঘ মেয়াদে থাকা সহ-সভাপতি দায়িত্ব পালন করেন। বাফুফের সিনিয়র সহ-সভাপতি পদ থাকলেও ফিফাকে অনুসরণ করে সভাপতির অনুপস্থিতিতে সহ-সভাপতির বিষয় উল্লেখ রয়েছে। বর্তমান গঠনতন্ত্রের মতোই খসড়াতেও ১৮টি স্ট্যান্ডিং কমিটি রয়েছে। কমিটির আকার ও আওতাও হুবহু রাখা হয়েছে। গ্রাউন্ডস কমিটির মতো গুরুত্বপূর্ণ কমিটি বিদ্যমান গঠনতন্ত্রে নেই। খসড়াতেও রাখা হয়নি। খসড়া গঠনতন্ত্রে এ রকম বেশ কিছু অসঙ্গতি রয়েছে।
বাফুফের নির্বাহী কমিটির সদস্যদের এক মাসের মধ্যে খসড়া নিয়ে মতামত দিতে বলা হয়েছে। সহ-সভাপতি ওয়াহিদ উদ্দিন চৌধুরী হ্যাপি ক্রীড়া মন্ত্রণালয় ও এনএসসির সঙ্গে এবং আরেক সহ-সভাপতি সাব্বির আহমেদ আরেফ ক্লাব ও জেলাগুলোর সঙ্গে খসড়া নিয়ে আলোচনা করবেন। সংযোজন-বিয়োজন থাকলে সেটা আবার ফিফার সঙ্গে আলোচনা করবে ফেডারেশন। নির্বাহী সভায় আনুষ্ঠানিক পাশের পর সাধারণ পরিষদে উঠবে চুড়ান্ত অনুমোদনের জন্য। এজিএমে পাস হওয়ার পর নতুন গঠনতন্ত্র কার্যকর হবে।
তিন বারের বেশি নির্বাহী কমিটিতে নয়
- নির্বাহী কমিটির আকার ২১ জনই, তন্মধ্যে কমপক্ষে ২ জন নারী
- সভাপতি, সহ-সভাপতি পদে কাস্টিং ভোটের ৫০% পেতে হবে
-২৫ বছরের কম নয়, ৭২ বছরের বেশি নয় এমন বাধ্যবাধকতা নেই
-ডেলিগেট তালিকায় নেই বিভাগীয় ফুটবল এসোসিয়েশন
-ডিসিপ্লিনারী, আপিল, কমপ্ল্যায়ন্স কমিটি ও নির্বাচন কমিশন সাধারণ পরিষদের মাধ্যমে নির্বাচিত হবে
-আন্তঃবিশ্ববিদ্যালয় প্রতিযোগিতায় শীর্ষ তিন দলের ভোটাধিকার
এজেড/এএল/এফআই